| © 2010 Rasmus ehf and Jσhann Νsak |
Integration |
|
Lesson 4
Volumes of revolution
Imagine that the graph of the function y = f(x) is rotated once about the x -
axis ( or y - axis ) so that we have a 3 - dimensional solid.
The object could look something like the diagram below and is called a
solid of revolution.

We are going to see how integration can be used to find this type of volume, called a volume of revolution. When we first tried to find the area under a graph we divided the area into small strips, each with the height f(x) and then added the area of these strips together. To find the volume formed when we rotate a curve about the x axis we divide the solid into small discs with radius f(x) ( see the diagram below ).

The thickness of each disc is
x
and the surface area
A.
The discs are cylindrical so we can use the formula for the volume of a
cylinder, Volume R =
r2·h.
In this case the height is
x
and radius of the surface is f(x) so the volume of each disc is
R
=
r2·
x
=
(fx)2
x
We now sum the volumes of the discs using integration, with the boundaries x = a to x = b.
![]()
It's easiest to take
outside the
integration sign as it's a constant, and then multiply with
after integrating.
|
The volume of the solid formed when the graph of f(x) is rotated once about the x - axis on the interval from x = a to x = b is:
|
Example 1
Find the volume of the solid formed when the graph of
is rotated once
round the x - axis .
This is what the graph looks like.
![]() |
![]() |
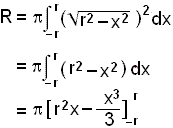
This is obviously the graph of a semicircle with radius one unit. So, when we rotate this about the x - axis we get a sphere also with radius one unit. To find the volume we use the formula :
on the interval
1 ≤ x ≤ 1.

= p(1 ⅓ (1 (⅓)))
= p(1 ⅓ + 1 ⅓)
= 4
/3
Let's continue with this example and find a formula for the volume of a sphere with radius r.
In this case
we rotate
, which is a
semicircle with radius r, about the x - axis..
The calculations follow:
s
= p(r3 ⅓ r3 (r2 ⅓(r3)))
= p(r3 ⅓ r3 + r3 ⅓ r3)
= pr3(2 ⅔)
= 4pr3/3
This is a formula that you will easily recognise from geometry. Many proofs of this sort in geometry can be accomplished using integration.
Example 2
A ring has a straight sided inside surface and a curved outer surface.
The radius of the inner ring is
8 mm and the outer surface is part of the parabolic curve
f(x) = 6x x2
on the interval 2 ≤ x ≤ 4. Find the
volume of the ring .
We start by looking at the graph of the line y = 8 and the parabola f(x) = 6x x2 . The shaded area between these two graphs are a cross section of the ring.
![]() |
![]() |
Rotating this cross section around the x - axis shows us the whole ring.
First calculate the points of intersection:
6x x2 = 8
0 = x2 6x + 8
= (x 2)(x 4)
The graphs intersect in x = 2 and x = 4.
The parabola is the upper function so we first calculate the volume of the outer ring and then subtract the volume of the inner ring on the interval 2 ≤ x ≤ 4.

(6x – x2 )2– 82 = (6x – x2)(6x – x2) – 64
= 36x2 – 6x3 – 6x3 + x4
= x4 –12x3 + 36x2 – 64
The area is:

Example 3
Find the volume of the cone that is formed when the line y = x is rotated once about the x-axis on the interval x = 0 to x = 4 (see diagram).

R =
⅓
43 =64
/3
It would perhaps be more natural to see the cone standing vertically, symmetrical about the y - axis rather than the x - axis.

In that case we could use another method to find the volume forming the cone by rotating the line y = f(x) once about the y - axis. Imagine cutting a thin cylinder or tube out of the cone as shown in the diagram and opening it out to form a rectangle.

|
|
This method is often simpler to use than the previous method as it does not involve squaring the function.
Example 4
Find the volume of the bell shaped solid of revolution when the curve given by the function f(x) = 4 x2 is rotated once about the y-axis. The diagram below shows the shape of the solid.

Using the second method, the cylinder method, we get that the volume is:

= 2
(8
4) = 8![]()
Example 5
Find the volume of the cone formed when the line y = 2x + 1 with 0 ≤ x ≤ 4 is rotated about the y-axis.
The diagram is shown here.

If we use the second method with x = 0 to x = 4 we get the volume of the solid that lies outside the cone so we need to subtract f(x) from 9. The volume is then:

=
2
(64
42⅔) = 128
/3
Example 6
A glass solid is formed by rotating the area between the parabola f(x) = x2/10 and the line y = x + 20 about the y - axis . Find the volume of revolution.
First, a diagram.

The curves intersect where x = 20 so we can subtract the lower function from the upper function as in example 5 and use the formula on the interval x = 0 to x = 20

=
2
(2666⅔
+ 4000 4000) = 16000
/3
.
Practise these
methods then take test 4 on integration.
Remember the check list!!