|
© 2009 Rasmus ehf & Jóhann Ísak |
Derivatives |
|
Lesson 3
Roots, negative powers, multiplied and divided functions
Example 1
Find the derivative of
.
![]() |
Use the rule: |
We can also write
so
let's check whether the rule for differentiating powers with whole numbers
that was used in lesson 2 also applies in this case. We would get
.
|
We can show that the rule f´(x) = n·x n–1 also applies when n is a fraction |
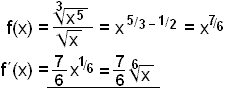
Example 2
Use the rule to differentiate the following example, first simplifying the root and writing it as a fraction using the notation.
![]() |
|
Example 3
Use the definition of a derivative to differentiate f(x) = x–1 = 1/x.
![]() |
|
|
This suggests we can use the rule f´(x) = n·x n–1 on negative powers |
Now we will prove a rule that shows how to differentiate a function made up of two functions multiplied together.
f(x) = u(x)·v(x).

We know that when h is small
and
![]()
which gives us that
h·u´(x)
u(x+h) – u(x) and therefore u(x+h)
h·u´(x) + u(x)
and h·v´(x)
v(x+h) – v(x) and therefore v(x+h)
h·v´(x) + v(x)
Putting these values in the above equation, simplifying, cancelling and then taking the limit gives us the rule for finding the derivative when two functions are multiplied together:
|
(u(x)·v(x))´= u´(x)·v(x) + u(x)·v´(x) |
It's easier to remember the rule if we leave out the x.
|
(uv)´ = u´v + uv´ |
Example 4
We'll check the rule and make sure you understand it by finding the derivative of f(x) = x3·x2.
The easiest and obvious way is to simplify first then find the derivative: f(x) = x5 and f´(x) = 5x4.
Now use the multiplication rule:
Put u = x3 gives u´ = 3x2 and v = x2 gives v´ = 2x.
f´(x) = (uv)´ = u´v + uv´
= 3x2·x2 + x3·2x
= 3x4 + 2x4 = 5x4
which agrres with our first method.
Now a more complicated rule, the rule for differentiating rational functions u/v where u and v are both functions of x:
![]()
This can be proved using the definition of a derivative in the same way as the multiplication rule was proved. It can also be proved using a rule called the Chain rule that will be introduced in lesson 5.
We give the chain rule proof here, you can come back to this proof when you have been over lesson 5.
We use the chain rule (v–1)´ = –v–2v´ and the rule (uv)´ = u´v + uv´ where u and v are both functions of x.

This is the rule:
![]() |
Example 5
Use the rule for division to
differentiate ![]()
u = x + 1 so that u´ = 1 and v = x2 giving v´ = 2x.
Putting these into the above formula gives us

Practise these methods and then
take test 3 on derivatives.
ps. Remember your check list.