| © 2007 Rasmus ehf and Jóhann Ísak |
Functions I |
Lesson 5
The Domain and Range of a function
We can think of a function as a kind of machine or a sequence of operations performed on a set of numbers. The numbers go into the machine and other numbers come out depending on how the function is defined.
The numbers we can put into the function machine are called the Domain of the function.
The numbers that come out are called the Range of the function.
The numbers in the Domain are the x-values, the numbers in the Range are the y- values. We have seen that some functions do not accept all x values so the Domain is limited. As the x values control the values we get for y the Range can also be limited.
If the function can take all values the Domain is the set of all Real numbers ( the set R).
If all the x values in the Domain are used to calculate values of f(x) then the resulting y- values form the Range of f(x).
Determining the Domain of a function is relatively easy as we only have to consider what values of x we cannot use in our calculations.
There are two common calculations that limit our choice of x values.
1. We cannot divide by 0.
2. We cannot take the square root of a negative number.
It can be more difficult to find the Range of a function. The simplest way is to examine the graph of the function. We can also look at the table of values, choose extreme values for x and try to see what values y takes
Example 1
Given the function f(x) = 2x + 4.
We can choose any value for x and are able to
calculate f(x).
Therefore the Domain of the function is the set of all Real numbers R.
When we make a table of values
choosing any x value we see that y takes all real values. The bigger we choose x
the bigger the y value will be. When we draw the graph we see that it is a
straight line which
can be continued as far as we want in both directions. So the Range of the
function is also R.
| Domain | Range |
|
| x | f(x) = 2x + 4 | |
| or y = 2x + 4 | ||
| -2 | 0 | |
| -1 | 2 | |
| 0 | 4 | |
| 1 | 6 | |
| 2 | 8 |
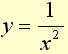
Example 2
| Domain | Range |
|
| x | ![]() |
|
|
|
||
| -2 | ||
| -1 | 1 | |
|
|
4 | |
| 0 | impossible | |
| 4 | ||
| 1 | 1 | |
| 2 | 4 |
The only value we cannot choose is x = 0, as then we would have to divide by 0. The Domain is therefore R\{0}.
We can’t easily see what y
values we get by looking at the table of values. We can see however that
f(10) = f(−10) = 1/100 and f(100) = f(−100) = 1/10.000 and so on. As
x gets larger, y gets nearer and nearer to 0. y is never equal to 0 and never
negative.
As x gets nearer and nearer
to 0, y gets larger and larger:
f(1/10) = f(−1/10) = 100 and
f(1/100) = f(−1/100) = 10.000.
We conclude that the Range
of the function is all the Real numbers greater than 0:
Range = á0, ®ñ.
Example 3
| Look at the function |
| Domain | Range |
|
| x | ![]() |
|
| -2 | ![]() |
|
| -1 | ||
| 0 | ![]() |
|
| 1 | -2 | |
![]() |
||
| 3 | 2 | |
| 4 |
|
|
| 5 |
The function can be evaluated for all values of x except x = 2.
From the table of values and the graph we can
see that y takes all values except those between −2 and 2.
Range = {y Î R│y £ −2 or y ³ 2}.
Example 4
Look at the parabola y = x2 − 2x + 2.

We know that it turns upwards because a > 0
and therefore the vertex is a minimum value.
We find the axis of symmetry as before, using the formula
|
|
![]() |
Next we have to find the y value when x = 1.
To do this we calculate:
f(1) = 1 − 2×1 + 2 = 1. The vertex
is therefore (1, 1) .
The y values never go below 1 but go up to infinity (endlessly).
Therefore the Range of f(x) is [1, ®ñ.
Example 5
Find the Domain and Range of the function
![]()
| Domain | Range |
|
| x | ||
| -11 | 4 | |
| -4 | 3 | |
| 1 | 2 | |
| 4 | 1 | |
| 5 | 0 |
We cannot evaluate the function for any x greater than 5 because that would mean taking the square root of a negative number. We can however choose any other x including negative values of x as then we get two negatives in front of the x (−− = +) under the root. The domain is:
Domain: {xÎR│x £ 5} = á¬, 5]
To find the range of the function we make a table of values and look at the graph.
We see that the graph ends in the point (5, 0) but continues up to the left as far as we wish to draw it. The y values never go below 0. Therefore we get:
Range: {yÎR│y ³ 0} = [0, ®ñ
Reminder: The x−values decide the Domain and the y−values decide the Range.
Try Quiz 5 on Functions I.
Remember to use the checklist to keep track of your work.