© 2000 - 2009 Rasmus ehf |
Ułamki zwykłe – dodawanie i odejmowanie |
|
Prezentacja nr 3
1. Najpierw sprawdź, czy ułamki mają wspólny mianownik.
|
3x · 4 = 12x i 4x · 3 = 12x Ułamki rozszerzamy i sprowadzamy do wspólnego mianownika. |
Poźniej mnożymy i obliczamy nawiasy znajdujące się
nad kreską ułamkową.
Wtedy widzimy, że (x + 2)·4 = 4x + 8 i (x + 3)·3 = 3x + 9
|
|
|
|
|
Następnie dodajemy do siebie wyrazy podobne i skracamy. |
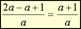
2. Czasami musimy zapisać liczby w nieco innej postaci.


|
Usuwamy nawias, pamiętając o zmianie znaku
przy wyrazach wewnątrz nawiasu. |
3. Bardziej skomplikowane zadania.

Mnożymy przez siebie mianowniki i otrzymujemy wspólny mianownik.
|
Takie równanie jest poddane pewnym ograniczeniom, ponieważ mianownik nie może nigdy równać się 0. x(x - 2) będzie = 0 jeśli x = 2 lub x = 0. Wtedy mówimy, że x nie może przyjmować wartości 0 i +2. |
4. Mnożenie dwóch nawiasów.
Mnożymy mianowniki i otrzymujemy wspólny mianownik.


Włączamy czynnik do wnętrza nawiasu, usuwamy nawiasy i porządkujemy wyrazy podobne.
Teraz spróbuj wykonać test nr 3. Jeśli osiągniesz ponad 80% poprawnych odpowiedzi, spójrz w lustro i powiedz: “Jestem mistrzem algebry!”.