© 2000 - 2009 Rasmus ehf |
Ułamki zwykłe – dodawanie i odejmowanie |
Prezentacja nr 1
1. Dodawanie ułamków o tym samym mianowniku.


2. By dodać ułamki o różnych mianownikach najpierw sprowadź ułamki do wspólnego mianownika.
Mnożymy licznik i mianownik przez tą samą liczbę, czyli rozszerzamy ułamek.

Zawsze możesz sprowadzić ułamek do wspólnego mianownika przez przemnożenie mianowników, chociaż rezultat niekoniecznie będzie najmniejszym wspólnym mianownikiem.
Tutaj widzisz, że jak pomnoży się mianowniki, to otrzymuje się wspólny mianownik 6.
Teraz
możesz dodać liczniki i otrzymujesz wynik.
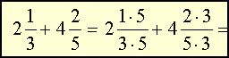
3. Liczby mieszane składają się z liczby całkowitej i ułamka. Najlepiej jest najpierw popracować nad całościami, a potem nad ułamkami. Aby dodać liczby mieszane z ułamkami o różnych mianownikach, sprowadź ułamki do wspólnego mianownika.
Rozszerzamy ułamki i otrzymujemy wspólny mianownik.

Najmniejszy wspólny mianownik jest najmniejszą liczbą, która jest podzielna zarówno przez 3 jak i 5, czyli 15.

Na koniec dodajemy do siebie liczby całkowite oraz liczniki i otrzymujemy odpowiedź.
4. Czasem musisz pożyczyć od całości.
Sposób nr 1.
Czasami można pożyczyć od całości i zapisać w postaci ułamka.

Dodaj albo odejmij liczniki.
Zauważ, że mianownik pozostaje ten sam.

Wiesz, że 1 = 4/4 ( i 4 = 3+1)
Sposób nr 2.
Jeśli chcesz uniknąć pożyczania, możesz zamienić liczbę mieszaną w ułamek.

5. Liczba mieszana i ułamek.
|
Kiedy zamieniasz liczbę mieszaną w ułamek, to mnożysz całość przez mianownik i dodajesz licznik. Otrzymujesz liczbę 11, która będzie nowym licznikiem. Jeśli licznik jest większy od mianownika to taki ułamek nazywamy niewłaściwym (bo ułamek jest większy od całości). |
6. Odpowiedzi powinny być przedstawiane w możliwie skróconej postaci.
Przyjęte jest skracać odpowiedzi.

12 : 6 = 2 i 6 : 6 = 1
Jeśli odejmuje się większą liczbę od mniejszej to w wyniku otrzymuje się liczbę ujemną.

Teraz spróbuj wykonać test nr 1.
Jeśli masz problemy z tymi przykładami to dobrze je przećwicz, bo w
następnej prezentacji będziemy ich używać do zadań algebraicznych.