|
© 2000 - 2009 Rasmus ehf |
Potęgi |
|
Potęgi o podstawie 10 nazywane są „potęgami dziesięciu”.
|
|
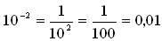
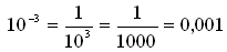
Przykłady potęg o podstawie 10: |
|
|
|
|
|
|
|
|
101 = 10 |
|
|
|
|
|
|
|
|
|
|
|
|
itd.

Postać wykładnicza
Postać wykładnicza jest iloczynem liczby między 1 a 10 i potęgi dziesięciu.
(podstawą może być liczba 1 ale nie 10, innymi słowy: od 1,0 do 9,999....)
|
|
Liczba 6000 w postaci wykładniczej jest zapisana jako 6·103. |

Przykłady postaci wykładniczych:
1. 4400 = 4,4 · 1000 = 4,4·103
Postać wykładnicza - przed przecinkiem znajduje się jedna cyfra.
2. 4400 = 44 · 100 = 44·102
To nie jest postać wykładnicza, bo liczba przed przecinkiem jest większa niż 10, tzn. dwucyfrowa.
Teraz spróbuj wykonać test nr 3. Powodzenia!