|
© 2009 Rasmus ehf og Jóhann Ísak Pétursson |
Rozkład wielomianu na czynniki |
Przyjrzyj się wielomianowi f(x) = 6x2 − 9x + 3 i wybierz kilka wartości x do stworzenia tabeli wartości. Wyobraź sobie, że mamy na tyle szczęścia by wybrać x = 1 i zauważyć, że f(1) = 0.
Jeśli x = 1 to (x - 1) = 0. To, że f(1) = 0 mówi nam, że (x - 1) jest czynnikiem f(x). Jeśli założymy, że (x - 1) jest czynnikiem f(x) to możemy również pokazać, że f(1) = 0:
f(x) = 6x2 − 9x + 3 = (nieznany czynnik)(x - 1)
f(1) = 6 − 9 + 3 = (nieznany czynnik)(1 − 1) = (nieznany czynnik)∙0
= 0
Jako że dzielenie jest działaniem odwrotnym do mnożenia, to musimy podzielić wielomian 6x2 − 9x + 3 przez x − 1, aby znaleźć nieznany czynnik. Teraz nauczymy się to robić przez porównanie dzielenia wielomianów do zwykłego dzielenia liczb, którego się nauczyliśmy.
Dzielenie liczb:
|
|
Ile razy 12 mieści się w 30? Ile razy 12 mieści się w 60? |
Dzielenie wielomianów:
|
|
Ile razy x − 1
mieści się w 6x2? Ile razy x −
1 mieści się w -3x? |
f(x) = 6x2 − 9x + 3 można rozłożyć na czynniki (6x − 3)(x − 1).
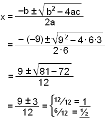
Możemy rozłożyć na czynniki 6x2 − 9x + 3 stosując wzory na pierwiastki równania kwadratowego.
Współczynniki równania to a = 6, b = −9 i c = 3.

Rozwiązaniami równania są 1 i ˝, zatem (x − 1) i (x − ˝) są czynnikami w równaniu
6x2 − 9x + 3. Otrzymujemy zatem:
6x2 − 9x + 3 = 6(x − 1)(x − ˝).
Można to sprawdzić przemnażając przez siebie wyrażenia w nawiasach.
Przykład ten wskazuje nam regułę na rozkładanie na czynniki funkcji kwadratowej:
ax2 + bx + c = a(x − r1)(x − r2)
Współczynniki r1 i r2 nazywane są pierwiastkami równania.
Teraz podzielimy x3 − 6x2 + 11x − 6 przez x −
1, a wynik użyjemy do rozłożenia na czynniki wielomianu.
|
|
x mieści się x2
razy w x3. |
|
x mieści się −5x
razy w −5x2. |
|
|
x mieści się 6 razy w 6x. |
Reszta wynosi 0, co oznacza, że (x - 1) jest czynnikiem wielomianu.
x3 − 6x2 + 11x − 6 = (x2 − 5x + 6)(x − 1) = (x − 3)(x − 2)(x − 1)
Teraz przyjrzyjmy się trudniejszemu przykładowi.
Podziel wielomian x3 − 4x + 3 przez x
− 1, a potem rozłóż na czynniki.
|
|
W tym przypadku nie możemy odjąć x2 od −4x. Zatem oba wyrażenia pozostają bez zmian. |
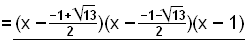
Reszta z dzielenia wynosi 0 zatem x - 1 jest czynnikiem wielomianu. Teraz pozostaje rozłożyć na czynniki x2 + x − 3. Musimy użyć do tego celu wzorów na pierwiastki równania kwadratowego.
Współczynniki to a = 1, b = 1 i c = −3.

Wielomian rozłożony na czynniki:
x3 − 4x + 3 = (x2 + x − 3)(x − 1)
![]()
Teraz przyjrzyjmy się przykładowi, gdzie reszta z dzielenia nie jest równa 0. Podziel x3 + 4x2 + x + 1 przez x + 1.

W tym przykładzie reszta jest równa 3.
Możemy teraz przepisać wielomian:

Sposób zapisu wyniku jest ważny.
Z tego przykładu widzimy następujący ogólny wynik:

Jeśli pomnożymy obie strony równania przez x − a to otrzymamy następujący zapis wielomianu f(x):
f(x) = q(x)(x − a) + reszta
Teraz wykorzystamy tę wersję równania f(x), aby obliczyć f(a).
f(a) = q(a)(a − a) + reszta
f(a) = q(x)∙0 + reszta
f(a) = reszta
To nam pokazuje, że możemy znaleźć resztę, gdy wielomian jest dzielony przez x – a, bez wykonywania jakiegokolwiek dzielenia.
To twierdzenie jest nazywane twierdzeniem Bézouta i brzmi:
Jeśli wielomian f(x) jest podzielny przez x − a, to reszta równa jest f(a).
Wykorzystaj twierdzenie Bézouta do znalezienia reszty z dzielenia wielomianu x3 + 4x2 + x + 1 przez x + 1.
Twierdzenie Bézouta obowiązuje dla dzielenia przez x – a. Jeśli chcemy je użyć dla dzielenia przez x + 1, to musimy obliczyć f(-1).
f(−1) = (−1)3 + 4∙(−1)2 + (−1) + 1
= −1 + 4 − 1 + 1
= 3
To zgadza się z wynikiem w przykładzie 5.
Na koniec użyjemy twierdzenia Bézouta do znalezienia reszty z dzielenia x3 + 4x2 + x + 1 przez x − 1.
Stosujemy twierdzenie
Bézouta dla a = 1 i znajdujemy
resztę z dzielenia f(x) przez x − 1 obliczając f(1).
f(1) = 13 + 4∙12 + 1 + 1
= 1 + 4 + 1 + 1
= 7
Przećwicz
powyższe przykłady, a następnie zrób test nr 1.
PS Pamiętaj regularnie wypełniać Twoją tabelkę wyników.