© 2006  Rasmus ehf

Prosent og renter.

 Print

Introduksjon 6.



Rente

Dersom du har penger i en bank, så betaler banken rente til deg. Renten er en slags leie som banken betaler til deg for å få disponere sparepengene dine. Hvor mange kroner du får i rente, kommer an på prosenten, eller rentefoten og hvor mye du sparer. Renten beregnes som en del av det hele, kapitalen,  som i prosentregning.

Om du har 150.000 kr på din konto i banken i ett helt år og rentefoten er 12% pa. ( Pa. betyr per annum = per år ), så kan du beregne renten med vanlig prosentregning.

Dvs.  Rentefot multiplisert med kapitalen = renten

Rentefoten kan gjøres om til desimaltall:   12% = 12/100 = 0,12

På ett år får du 18000 kr i rente.               

Øverst på siden



  Tid

Om du har 150.000 kr på din bankkonto i 6 måneder eller et halvt år, får du
I rente på et halvt år

Tiden (t) kan tas med i prosentligningen, og renten kan regnes ut.

rentefot·kapital·tid = rente 
eller i rente på et halvt år. 
Eller et halvt år
 

Dersom kapitalen er i banken i 3 måneder,  regner du slik:

 rentefot·kapital·tid = rente

3måneder = 3/12 år = 0,25 år    Da er tid 0,25 

eller 4500 kr i rente på 3 måneder.

Øverst på siden


Rentedager

Vi regner med 30 dager i en måned og året blir derfor 12 x 30 dager eller 360 dager.

150000 kr står i banken fra 26. august til 8. november samme år. Rentefoten er 12% pa. Vi må først regne ut antall dager pengene står i banken, rentedager, før vi kan beregne renten for denne perioden

 
Antall rentedager:
perioder dager
august (30-26)
sept. 30
okt. 30
nov. 8
Totalt:  72
 

72 dager av 360 er 72/360 år = 0.2 år.  Du får 

Uttaket i november blir:  kapitalen, 150000 kr + renten, 3600 kr = 153600 kr.

  Øverst på siden


Rentefoten

Renten av 150000 kr ble 4500 kr etter tre måneder i banken. Finn rentefoten!

Obs tre måneder er 3 av 12 = 3/12 år = 0.25 år

Prosent·kapital·tid = rente Renteligningen
Setter inn de oppgitte verdiene og kaller rentefoten p (ukjent)
Multipliserer kapital og tid
Dividerer med tallet som står ved p og skriver på desimalform og gjør om til prosent.

Vi ser at rentefoten er 12 %.                                                         

Øverst på siden


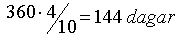
Beregne tiden

Renten av en kapital på150000 kr var 7200 kr og rentefoten var 12%

Regn ut hvor lenge denne kapitalen  var i banken.

 
Prosent·kapital·tid = rente Renteligningen
Setter inn gitte verdier for kapital og rentefot og kaller tiden for t (ukjent)
Multipliserer sammen kapital og rentefot.
Dividerer med tallet som står ved t og skriver på desimalform.
  Multipliserer med antall dager i året.
                                                                                                         

Vi ser at kapitalen var i banken i 144 dager.                                                                                           

Øverst på siden


Beregne kapitalen

Vi tar 164400 kr ut av banken. Kapitalen har stått i banken i 288 dager og rentefoten er 12%.   Vi vet ikke hvor mye som ble satt inn i banken og heller ikke renten.

Obs. 288 dager av 360 er 288/360 = 0.8 år.

0,12·kapital·0,8 = rente
Prosent·kapital·tid = rente Renteligningen
0,12·kapital·0,8 = rente Sett inn de gitte verdier for rentefot og tid
kapital+0,12·kapital·0,8 = rente+kapital Legg til  kapitalen på begge sider av likhetstegnet
kapital + 0,096kapital = 164400kr

1K + 0,096K = 164400kr

Multipliserer 0.12 og 0.8 og setter inn den gitte verdien, uttaksbeløpet = rente +kapital. Kaller kapitalen for K(ukjent)
1,096K = 164400kr 1K + 0.096K = 1.096K
Dividerer med tallet som står ved K og da finner du 1K som er kapitalen.
 

150000 kr ble satt inn i banken.

Øverst på siden


Renters rente

Vi har 150000 kr i banken i 5 år. For å finne ut hvor mye vi kan ta ut når rentefot er 12 %, skal vi først se litt på hva som skjer år for år.

 

og 150000 kr + 18000 kr = 168000 kr.
168000 er 112% av 150000.

For hvert år som går blir kapitalen endret.

1 år
2 år
3 år
 

Om vi fortsetter med 12% rentefot får vi:

Kapital etter 3 år 
Kapital etter 5 år 

Kapital og rente etter 5 år er da

Kapital og rente etter x år er da  

Her er:

K = kapital og rente etter  x år

k = kapital som ble satt i banken

p = rentefoten  skrevet på desimalform

x = år

                                                                               Øverst på siden


Gjør nå test 6 i prosentregning