© 2007 Rasmus ehf og Jóhann Ísak Pétursson |
Eksponenter og logaritmer. |
|
Introduksjon 1
Eksponenter
Vi vet allerede at a3×a2 = a×a×a × a×a = a3+2 = a5. Vi skal altså legge sammen eksponentene når flere potenser med samme grunntall ganges sammen.
Her er et annet eksempel:

Dette
viser oss at når en potens deles på en potens med samme grunntall, gjør man
det motsatte av i forrige eksempel. Vi må altså trekke fra eksponenten det
deles på, istedenfor å legge den til.
Regler:

Her er to konkrete eksempler på bruk av den andre regelen:

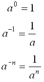
Vi brukte to forskjellige metoder for å forenkle uttrykket, og fikk samme svar. Som vi ser, blir alle tall opphøyet i nulte 1.
Neste eksempel viser at en negativ eksponent er det samme som en positiv eksponent under brøkstreken.

Regel:

Forenkle uttrykket og gi svaret med positive eksponenter.
![]() |
Vi flytter b−1 ned, og endrer den til b1= b. Så flytter vi c−2 opp, og endrer den til c2. |
Forenkle uttrykket:
![]() |
Her bruker vi reglene for multiplikasjon og divisjon. Å trekke fra negative eksponenter, blir det samme som å legge til positive eksponenter. |
Forenkle uttrykket, og avgi svar med positive eksponenter:

Nå skal vi se hva som skjer når vi opphøyer tallene i en parentes.
(a3b)2 = (a∙a∙a∙b)∙(a∙a∙a∙b) = a3∙2 b1∙2 = a6b2
Alle tallene (bokstavene) ble opphøyet i det som sto utenfor parentesen.
Regel:

Her er eksempler på bruk av disse reglene.
![]() |
Alle
ledd inne i brøkene opphøyes i det parentesen var opphøyet i. (b =b1 ) |
![]() |
Her kan vi endre eksponenten -1 til 1 ved å snu brøken opp ned, slik at teller blir nevner og omvendt. |
![]() |
Først forenkler og fjerner vi den innerste parentesen. |
![]() |
Så forenkler og fjerner vi de andre parentesene. |
![]() |
Deretter forenkler vi leddene i teller og nevner. |
|
Så
bruker vi reglene for multiplikasjon og divisjon til å forenkle hele
uttrykket.
Til slutt sørger vi for at alle eksponentene er positive, ved å flytte de negative til den andre siden av brøkstreken. |
Prøv test 1 i Eksponenter og Logaritmer.
Husk å bruke sjekklisten.