© 2007  Rasmus ehf og Jóhann Ísak Pétursson

Brøk delt på brøk  

Introduksjon 2

Her er noen mer kompliserte eksempler.

Eksempel 1

 

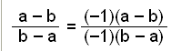
Vi kan gange både teller og nevner med     -1 uten at brøken blir endret. 

Hvis vi ganger nevneren med -1, blir den lik som telleren. Da kan vi forkorte, slik at vi sitter igjen med -1 i teller.

Ved hjelp av en enkel regel kan vi oppsummere det vi oppdaget i forrige eksempel:

Denne regelen gjelder hvis vi har en brøk hvor telleren og nevneren er det samme, bortsett fra at leddene i teller har motsatt fortegn av leddene i nevneren.


Eksempel 2

 

Vi legger sammen leddene i telleren ved å finne fellesnevneren. Vi gjør det samme med nevneren.

Så kan vi gjøre om divisjonen til en multiplikasjon som før, og samle brøkene på samme brøkstrek.

 Til slutt kan vi faktorisere og forkorte bort fellesfaktorer.

Eksempel 3

 

Igjen legger vi sammen leddene i teller og nevner.

Deretter samler vi de to brøkene på samme brøkstrek.

Så kan vi forenkle, faktorisere og forkorte.

Husk:   −5(x − 4) = 20 − 5x.


Noen ganger er det lettere å gange telleren og nevneren med fellesnevneren til alle brøkene.

Eksempel 4

 

Fellesnevneren til alle brøkene i dette eksempelet er 12.

Vi ganger hvert ledd med 12, forkorter bort brøkene og ganger ut parentesene.

Til slutt faktoriserer vi, og forkorter så mye som mulig.

 

Prøv test 2 i Brøk delt på brøk. Husk å bruke sjekklisten.