© 2000 -2010 Rasmus ehf |
Veldareikningur |
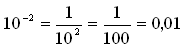
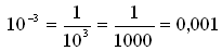
Tugaveldi litlar tölur, stórar tölur og stağalform:
Şegar stofn tölu er 10 er talağ um tugaveldi.
| Nokkur dæmi um töluna 10 | |
| 101 = 10 | |
osfrv.
Dæmi:

Stağalform er margfeldi tölu milli 1 og 10 og tugaveldis.
( má vera talan 1 en ekki talan 10 ş.a.e.s tölurnar: 1,0 til 9,999.......)
![]() |
Talan 6000 er rituð sem 6·103= á staðalformi. |
![]() |
Dæmi um stağalform:
1. 4400 = 4,4 · 1000 = 4,4·103
Stağalform 1 stafur framan viğ kommuna.
2. 4400 = 44 · 100 = 44·102
Ekki stağalform, gildiğ fram viğ kommuna er stærra en 10, ş.a.e.s tveir tölustafir.
Taktu nú próf 3 úr veldareikningskaflanum, gangi şér vel.