© 2008 Rasmus ehf og Jóhann Ísak Pétursson |
Eksponenter og logaritmer |
Introduktion 1 Eksponenter
Fra
algebraen, hvor vi ofte benytter potensregning, ved vi, at:
a3∙ a2 = a∙a∙a ∙ a∙a = a3+2 = a5.
Vi skal altså addere (lægge sammen) eksponenterne når flere potenser med samme rod multipliceres (ganges).
Her er et andet eksempel:

Dette viser os, at når en potens divideres med en potens med samme rod, gør man det modsatte af det vi gjorde i forrige eksempel. Ved division af potenser med samme rod, fås resultatet ved at beholde roden og trække eksponenten, der står i tælleren, fra eksponenten, der står i nævneren.
Regler:

Her er to konkrete eksempler på brugen af regel nummer 2:

Her brugte vi to forskellige metoder, for at reducere udtrykket, og vi fik det samme svar. Som vi ser, bliver alle potenser hvor eksponenten er nul = 1
Næste eksempel viser, at en negativ eksponent er det samme som en positiv eksponent under brøkstregen.

Regel:

Reducer udtrykket og giv resultatet med positive eksponenter.
![]() |
Vi flytter b−1 ned, og ændrer den til b1= b. Så flytter vi c−2 op, og ændrer den til c2 |
Reducer udtrykket:
![]() |
Her bruger vi reglerne for multiplikation og division. At trække negative eksponenter fra hinanden, er det samme som at addere positive eksponenter med hinanden. |
Reducer udtrykket, og giv resultatet med positive eksponenter:

Nu skal vi se, hvad der sker, når vi opløfter tallene i en parentes.
(a3b)2 = (a∙a∙a∙b)∙(a∙a∙a∙b) = a3∙2 b1∙2 = a6b2
Hver faktor bliver opløftet med den eksponent som er parentesens eksponent.
Regel:

Her er eksempler på brugen af disse regler.
Eksempel 4![]() |
Alle led
inde i parenteserne opløftes med parentesens eksponent. (b =b1 ) |
![]() |
Her kan vi ændre eksponenten -1 til 1 ved at vende brøken om, så tælleren bliver nævner og omvendt. |
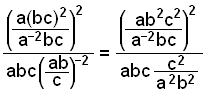
![]() |
Først reducerer og fjerner vi den inderste parentes. |
![]() |
Så reducerer og fjerner vi de andre parenteser. |
![]() |
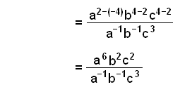
Derefter reducerer vi leddene i tæller og nævner. |
|
Så bruger vi reglerne for multiplikation og division til at forenkle hele udtrykket. Til sidst sørger vi for, at alle eksponenter er positive, ved at flytte de negative under brøkstregen. |
Prøv nu test 1 i Eksponenter og Logaritmer.
Husk at bruge tjeklisten.