| © 2007 Rasmus ehf og Jóhann Ísak Pétursson |
Líkningar 3 |
|
Kunning 1
Líkningar á øðrum stigi
Vit skulu nú finna loysnir til líkningar á øðrum stigi. Tað er tað sama sum at vita, hvar grafar hjá funktiónum við forskrift f(x) = ax2 + bx + c skera x-ásina í krossskipanini.
Vit kanna fyrst tey dømini, tá ið annað ella triðja lið er null (t.e. b = 0 ella c = 0).
Dømi 1
| a) 2x2 − 8 = 0 2x2 = 8 x2 = 4 x = ±2 |
Fyrst seta vit x2 einsamalt, síðan taka vit kvadratrótina báðumegin. Tað gevur tvær loysnir +2 og −2 |
| b) 2x2 + 8 = 0 2x2 = −8 x2 = −4 eingin loysn |
Her ber ikki til at taka kvadratrótina, tí talið er negativt |
Dømi 2
| a) 2x2 − 8x = 0 2x(x − 4) = 0 2x = 0 ella x − 4 = 0 x = 0 ella x = 4 |
Her ber til at seta 2x út um klombur. Annar faktorurin má vera 0, tí faldið er 0 |
| b) 2x2 + 8x = 0 2x(x + 4) = 0 2x = 0 ella x + 4 = 0 x = 0 ella x = −4 |
Her fáa vit eisini tvær loysnir. Hesar líkningarnar (har c = 0) hava altíð tvær loysnir |
Er eingin av konstantunum (koefficientunum) a, b og c null, verður truplari. Tó ikki um so er, at líkningin passar við regluna
p2 ± 2pq + p2 = (p ± q)2
Dømi 3
| a) x2 + 2x + 1 = 0 (x + 1)2 = 0 (x + 1) = 0 x = −1 |
Hetta er beint eftir regluni |
| b) 2x2 − 8x + 8 = 0 2(x2 −4x + 4) = 0 2(x – 2)2 = 0 (x − 2) = 0 x = 2 |
Tá ið 2 er tikið út um klombur, passar eisini hetta dømið við regluna |
Stundum ber til at faktorisera líkningina, so er bara eftir at finna tey x-virðini, sum gera, at faktorarnir verða null.
Dømi 4
Vit loysa líkningina x2 − 5x + 6 = 0
x2 − 5x + 6 = 0
(x − 2)(x − 3) = 0
x = 2 ella x = 3
Dømi 5
| Vit loysa líkningina x2 − 4x − 5 = 0
x2 − 4x − 5 = 0 x2 − 4x + 22 − 22 − 5 = 0 (x2 − 4x + 4) − 9 = 0 |
Her leggja vit afturat (og draga frá) kvadratið av hálva virðinum á konstantinum b. So kunnu vit brúka regluna p2± 2pq + q2 = (p ± q)2 |
| (x − 2)2
− 9 = 0 |
Nú hevur vistrasíðan skapið |
|
x − 2 = ±3 x = 2 ± 3 x = 5 ella x = −1 |
(x + r)2 + s, sum vit áður hava viðgjørt
|
Dømi 6
Vit loysa líkningina 3x2 − 24x + 21 = 0
3(x2
− 8x) + 21 = 0
3(x2 − 8x + 42) − 3∙42 + 21 = 0
3(x − 4)2 − 48 + 21 = 0
3(x − 4)2 = 27
(x − 4)2 = 9
x − 4 = ±3
x = 4 + 3 = 7 ella x = 4 − 3 = 1
Dømi 7
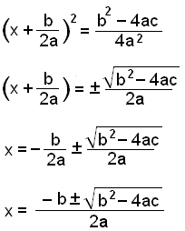
Nú skulu vit finna ein formil at loysa allar líkningar av slagnum ax2
+ bx + c = 0
![]() |
Set a út um klombur
Legg kvadratið av hálva koefficientinum hjá x afturat. Drag sama tal frá (vit minnast at falda við a)
|
![]() |
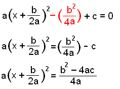
Skriva trý tey fyrstu liðini sum kvadrat.
Hini bæði liðini fara yvirum javnateknið, og felags-nevnarin verður funnin |
![]() |
Tak so kvadratrótina báðumegin. Vit minnast, at tað vera tvær loysnir
So hava vit x einasamalt vinstrumegin og seta liðini høgrumegin upp á felags brotstriku |
Hetta var rættiliga fløkt, men nú vit hava funnið formilin, nýtist okkum ikki at próga hann umaftur. Nú kunnu vit brúka hann at loysar allar líkningar á øðrum stigi.
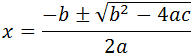
Loysnaformilin fyri líkningarnar ax2 + bx + c = 0, er
![]() |
Hetta er ein ógvuliga kendur og nógv nýttur formil í støddfrøðini.
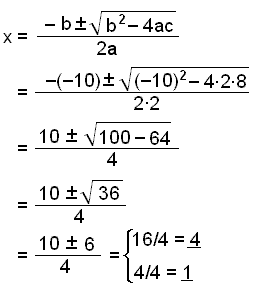
Dømi 8
Vit skulu nú brúka formilin at loysa líkningina
Koefficientarnir eru: a = 2
b = −10
c = 8
teir seta vit í formilin

Dømi 9
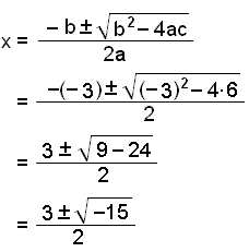
Vit loysa líkningina x2 − 3x + 6 = 0
Koefficientarnir eru a = 1, b = −3 og c = 6. Vit seta í formilin

Her síggja vit, at talið undir róttekninum verður negativt. Líkningin hevur tí onga loysn
Dømi 10
Vit skulu nú loysa líkningina 2x2
− 10x + 8 = 0 við grafískum CASIO-roknara 
Á høvuðsvalmyndini velja vit fyrst líkningaloysnina „EQUA“

So kemur hesin rúturin fram:

Vel síðan „Polynomial“ við F2-knøttinum

Her skulu vit velja 2 við F1-knøttinum, tí talan er um líkning á øðrum stigi. Skuldu vit loyst eina líkning á 3. stigi, skuldu vit valt hin møguleikan (3).
Nú kemur henda valmyndin:

Vit seta inn virðini a = 2, b = −10 og c = 8. Soleiðis trýsta vit:
![]()
At enda velja vit SOLV (loys) við F1-knøttinum. Loysnirnar eru x = 4 ella x = 1. Tær verða vístar soleiðis:

Dømi 11
Nú skulu vit síggja, hvat roknimaskinan ger, tá ið líkningin onga loysn hevur, sum t.d. líkningin x2 − 3x + 6 = 0. Vit sláa tølini inn: a = 1, b = −3 og c = 6. Roknimaskinan kemur við hesi niðurstøðu:

Hetta merkir, at hvør loysnin er eitt tvítal (komplekst tal). Líkningin hevur onga reella loysn.
Dømi 12
Nú skulu vit síggja, hvussu líkningar á øðrum stigi verða loystar við rokniarkinum EXCEL. Við seta upp hesa talvuna:

Vit loysa líkningina 2x2 − 10x + 8 = 0.
Vit skriva inn a, b og c í rútarnar A3, B3 og C3.
Í rútin B5 skriva vit formilin
=B3^2-4*A3*C3.
Í rútin B7 skriva vit formilin
=IF(B5<0;"Eingin loysn!";(-B3+SQRT(B5))/(2*A3))
Í rútin B9 skriva vit formilin
=IF(B5<0;"Eingin loysn!";(-B3-SQRT(B5))/(2*A3))
Brúka vit hetta forritið at loysa líkningar, sum bara hava eina loysn, sum t.d. x2
− 2x + 1 = 0, fáa vit sama svar tvær ferðir.

Hevur líkningin onga loysn, sum t.d. líkningin x2 − 3x + 6 = 0, svarar EXCEL soleiðis:

Ven hesar mannagongdir og tak síðan roynd
1 í líkningum 3.
NB! minst til at skriva í eftirlitslistan.